
。
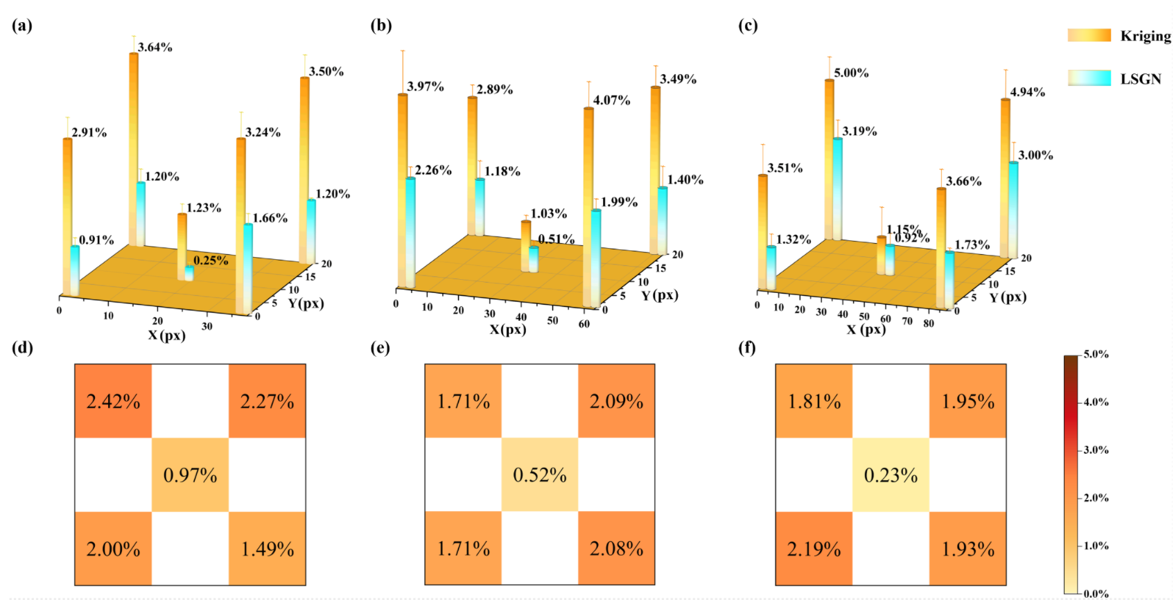
智慧农业是现代农业的发展方向,智慧播种作为其重要组成部分,将推动播种作业从传统的“经验驱动”向“数据驱动”转变,从而在提升单产、节约良种等方面展现出显著优势。面向智慧播种的技术需求,本研究提出一种基于WGAN-GPM的局域土壤有机质分布图实时生成算法(LSGN)。该算法融合了VIT网络、卷积残差网络与反卷积残差网络,有效增强了算法对已知土壤有机质数据点间综合特征与细节特征的提取能力。此外,本研究提出的基于WGAN-GPM架构的模型训练方法(图1)在保证训练过程高度稳定的同时,有效提升了生成分布图的细节精度。基于田间实测的土壤有机质含量数据,研究团队自主构建了包含部分已知数据点的训练数据集(图2)。将该数据集中对应于四行、六行、八行玉米播种机幅宽尺寸的测试样本输入至LSGN模型,生成的局域土壤有机质分布图经高斯滤波后,其均方根误差(RMSE)分别为0.13、0.37和0.55,平均相对误差(REA)分别为0.41%、1.19%和1.80%,峰值信噪比(PSNR)分别为51.96、43.63和39.50,KL散度(KLD)分别为8.92×10⁻⁶、9.91×10⁻⁵和2.93×10⁻⁴(图3),该结果表明,本方法显著提升了局域土壤有机质分布图的重建精度与鲁棒性。为验证自主构建数据集用于LSGN模型训练的可行性及其在田间环境下的预测精度,本研究进一步开展了田间交叉验证实验。结果表明,与传统空间插值方法相比,LSGN算法在三种播种幅宽下生成的局域分布图均表现出明显优势:REA降幅均超过1.5%,RMSE降低均大于0.4,通过分析二者不同位置处的预测精度差异发现,该算法在边缘区域的精度提升尤为显著,边缘点预测值的REA最大可提升2.42%,有效缓解了传统空间插值方法因数据稀疏导致的边缘区域预测性能下降的问题,从而显著提高了分布图的整体精度(图4)。本研究实现了面向四、六、八行玉米播种机的局域土壤有机质分布图动态高精度生成,为基于土壤有机质含量的播量在线决策与动态变量播种提供了重要的技术支撑。
图1 基于WGAN-GPM训练架构的LSGN算法富投恒盈
图2 数据集的构建
图3 对算法性能的评估
图4 LSGN模型在田间实测数据中预测值的REA
该研究工作得到了“十四五”国家重点研发计划(2021YFD2000404)、中国农业大学2115人才培育计划以及国家自然基金(32071915)的资助。中国农业大学为第一完成单位富投恒盈,工学院2025级博士研究生张晓爽为论文第一作者,杨丽教授为论文通讯作者。
金鼎配资提示:文章来自网络,不代表本站观点。